「秒」の再定義における二つの選択肢を統一的に理解する方法を確立
2030年の「秒」の再定義に向けて議論が加速することに期待
2025年12月1日
国立研究開発法人情報通信研究機構(NICT)
ポイント
■ 秒の再定義における二つの選択肢「単一原子種を利用」「複数原子種を利用」を統一的に理解する方法を確立
■ グラフを利用することで、相容れなかった両者を初めて直観的に比較することが可能に
■ 2030年に想定されている秒の再定義に向けて議論が加速することに期待
国立研究開発法人情報通信研究機構(NICT(エヌアイシーティー)、理事長: 徳田 英幸)は、パリ天文台と共同で、国際単位系の秒の再定義を行うに当たっての二つの選択肢、「単一原子種を利用する方法(Option 1)」と「複数原子種を採用する方法(Option 2)」を統一的に理解する方法を確立しました。
上記二つの選択肢は一見すると考え方が全く異なるためその比較が難しかったのですが、グラフを利用することで初めて直観的に比較することができるようになりました。また、Option 2では、人為的な判断が残されていた“重み付け”について、世界中で得られた様々なデータから自動的に決定する手法を提案し、客観性が確保されました。
これにより、これまで膠着していた秒の再定義の二つの選択肢の議論が加速し、2030年の国際度量衡総会にて新しい定義案が上程されることが期待されます。
なお、本成果は、2025年11月14日に、 計量標準分野のトップジャーナルである国際学会誌「Metrologia」に掲載されました。
背景
現在、国際単位系における秒の定義はセシウム原子のマイクロ波領域にある遷移(約9.2 GHz)で定義されていますが、より周波数の高い光領域の遷移(400-600 GHz程度)を利用して精度の高い時間を刻む光原子時計の研究が今世紀初頭より進展し、現在ではセシウム基準より、2桁以上小さい不確かさで基準周波数を生成可能となりました。
これを受けて、秒の定義を光学遷移によるものに変更すること(秒の再定義)が2010年代の後半より国際度量衡委員会時間周波数諮問委員会(CCTF)で議論されています。
当初セシウム原子時計に代わる光原子時計を一つだけ(ストロンチウム、イッテルビウムなどが候補)選ぶことを目指して議論がなされてきましたが、多彩な原子による光格子時計や単一イオン光時計の開発が進められている状況で一つの原子種に絞る事の難しさが課題となっていました。
そこで2019年にパリ天文台のJ. Lodewyckは、セシウムに代わる候補とされる複数の原子やイオンを同時に採用し、貢献度の加重を定量的に決めた形で定義する方法を提案しました。この方法は、容易に理解するのが難しい反面、関係者間の「総合的な議論」で一つの原子種を決定する必要がないこと、生成される基準周波数の性能が向上した場合、加重が増える形で反映され、それをインセンティブとして現在同様に競争的に研究が進展する可能性があること等の利点を持っています。そこでCCTFは上記二つの再定義の方法
1. セシウムに代わる新しい原子種を一つ利用し、その遷移周波数を定義値とする方法
2. 複数原子種の遷移周波数の重み付き相乗平均値を定義値とする方法
をOption 1, Option 2として議論を絞り、どちらが新しい秒の定義としてふさわしいか議論を進めてきました。しかし、時間・周波数の専門家であるCCTFの構成員ですらOption 2を正確に理解することが難しく、異なるOptionの支持者の間で科学的にかみ合った議論が展開されませんでした。
今回の成果
この度、NICTはパリ天文台と共同で、現在議論されている秒の再定義の二つの選択肢を統一的に理解できる方法を確立しました。従来の数式だけでなく、周波数値空間におけるグラフも利用して単位系の定義を理解することで、特に複数遷移を利用して定義するOption 2の原理を可視化し、容易に理解できるようにしました。
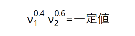
図1は、例としてセシウムの遷移の周波数値ν1を横軸、ストロンチウムの遷移の周波数値ν2を縦軸に取ったものです。定義が決まると周波数値が決まるということは、このグラフ内のどこか1点が最終的に選ばれると考えることができます。しかし我々は自由に選べるわけでなく、セシウムとストロンチウムの周波数比は無次元量で定義によらず決まっており、点(ν1,ν2)は周波数比が一定値となる原点を通る直線(赤線)上になければなりません。その上で定義もしくは単位があることで赤線上のどこの点の数値とするかが決まります。したがって、定義とは、上記の赤線に加えてもう一つの拘束条件となる線を与えて交点として数値を決めるためのものと考えることができます。実際に現在の秒の定義はOption 1でありセシウムの周波数の定義値9,192,631,770があることにより図の垂直に引かれた青点線が定義を表す線となり、ν1=9,192,631,770 という条件式を与えます。そしてOption 2では、定義線が曲線となり、例えばν1, ν2の重みがそれぞれ0.4, 0.6の場合
という曲線(緑点線)が定義線であると考えることができ、同様に赤線と定義線の交点として(ν1,ν2 )が決まると考えることで、両方のOptionを統一的に解釈することができます。さらに、Option 1はOption 2におけるν1,ν2 の重みがそれぞれ1, 0となった特殊な場合として包含されることも分かります。
加えて今回の成果では、Option 2における重み付けについて、世界中で得られた様々なデータに基づき、科学的な手法を提案しました。2019年の最初の提案では、特定の測定結果に基づいて決定する形で、どの結果を選ぶかという点において主観性を完全に排除できていませんでした。しかし今回、その時点で得られた全ての測定結果を入れた形で合理的に重みを決定する方法が提案されたことにより、Option 2においては必ずしも科学的ではない「総合的な議論」を廃して定義の決定や運用ができる方法が確立したことになります。
図1
今後の展望
本成果によって、Option 2の理解しにくさが大幅に改善され、また定義とは何か、その本質が広く理解されるようになることが期待されます。そして、Option 1、Option 2 のいずれかを支持する人も、もう一方の定義の内容を理解した上で、両者間で科学的にかみ合った議論が展開されるようになります。CCTFは2025年9月18-19日に7年ぶりに対面形式で開催されましたが、このOption については、まだどちらかに決定されるには至りませんでした。しかし、本成果が既にCCTF主催の研究集会等で報告されていたこともあり、Option 2の理解が関係者間で十分進んだことが共通認識とされ、今後再定義の方式を決定する議論に進む事が合意されました。現在想定されているように2030年に国際度量衡総会で秒の再定義を決議するためには、Optionの決定は待ったなしの情勢となっており、本成果によって議論が加速されることが期待されます。
論文情報
著者: Jérôme Lodewyck, Tetsuya Ido
論文名: Properties of a definition of the SI second based on several optical transitions
掲載誌: Metrologia
DOI: 10.1088/1681-7575/ae033f
URL: https://doi.org/10.1088/1681-7575/ae033f
編集部からのお知らせ
新着情報
あわせて読みたい
自動車リサイクル促進センター











